初二物理重难点压强知识点总结集锦
相关文章
物体所受压力的大小与受力面积之比叫做压强,压强用来比较压力产生的效果,压强越大,压力的作用效果越明显。今天小编为大家精心整理了一篇有关初二物理知识点总结之压强详细解析的相关内容,以供大家阅读!
初二物理重难点压强知识点总结集锦 1
经典例题
例1:B;
例2:A;
例3:A.
随堂练习
1.小于;等于;
2.p1>p2;
3.增大;15cm;
4.0.8;
5.不掉落;不掉落.
初二物理重难点压强知识点总结集锦 2
①液体对容器底部的压强:p1_____p2_____p3
②液体对容器底部的压力:F1_____F2_____F3
③液体的重力:G1_____G2_____G3
④液体对容器底部的压力和重力的关系:F1______G1 ;F2______G2 ;F3______G3
⑤容器对桌面的压力:F1'_____F2'_____F3'
⑥容器对桌面的压强:p1'_____p2'_____p3'
技巧总结:
①常规解法:先比较液体深度h,再根据
比较压强、最后由
比较压力。
②万能的受力分析法比较液体对杯底压力和液体自身重力的大小关系
对不同形状杯中液体进行受力分析,如下图所示:
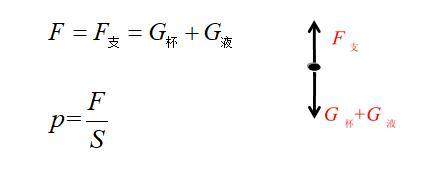
a柱形容器:从受力分析知,杯底对液体的支持力等于液体自身重力F支a=G液a,又根据力的相互性,液体对杯底的压力等于杯底对液体的支持力,则F压a =F支a=G液a。
b上宽下窄形容器:两侧壁对液体有上托的作用,因此杯底对液体的支持力小于液体自身重力,F支b
c上窄下宽形容器:两侧壁对液体有下压的作用,因此杯底对液体的支持力大于液体自身重力F支c>G液c,同理,根据力的相互性知液体对杯底的压力大于液体自身重力。
③ 画线法比较液体对杯底压力和液体自身重力的大小关系
G直液指的是以杯底为底,以液体原来的实际深度h为高的液柱的重力。例如下图:
④ 比较容器对桌子的压力、压强
采用万能的受力分析法,对容器和液体做整体受力分析求出压力,再求压强。
初二物理重难点压强知识点总结集锦 3
1.压力:垂直作用在物体表面上的力叫压力。
2.压强:物体单位面积上受到的压力叫压强。
3.压强公式:P=F/S,式中p单位是:帕斯卡,简称:帕,1帕=1牛/米2,压力F单位是:牛;受力面积S单位是:米2
4.增大压强方法:(1)S不变,F↑;(2)F不变,S↓
(3)同时把F↑,S↓,而减小压强方法则相反。
初二物理重难点压强知识点总结集锦 4
解决薄片脱落问题,需注意以下两点:
①若薄片质量和厚度忽略不计,则薄片上下面的液体压强相等,即薄片上下面所受压力相等时薄片巧好脱落。若薄片质量和厚度不可忽略,受力分析时不要忘记分析薄片自身的重力。
②注意薄片上方液体的重力与液体对薄片压力未必相等,和容器形状有关。
【经典例题】
例1 本题选自腾讯课堂付费课程《初中物理力学专题突破》-04液体、气体、流体压强-液体的压力和压强
一封闭容器装满水后,静止放在水平面桌面上,如图甲所示,对桌面产生的压力与压强分别为F1、p1;当把容器倒放在桌面上如图乙所示,静止时对桌面产生的压力与压强分别为F2、p2.则( )
A.F1=F2,p1>p2
B.F1=F2,p1
C.F1>F2,p1=p2
D.F1
例2 本题选自腾讯课堂付费课程《初中物理力学专题突破》-04液体、气体、流体压强-液体的压力和压强
一个未装满水的密闭杯子,先正立放在水平桌面上(如图甲),然后反过来倒立在水平桌面上(如图乙),两次放置时,甲图中水对杯底的压力和压强分别为F甲和p甲,乙图中水对杯底的压力和压强分别为F乙和p乙,下列判断正确的是( )
A.p甲>p乙 F甲
B.p甲>p乙 F甲=F乙
C.p甲=p乙 F甲
D.p甲F乙
例3 本题选自腾讯课堂付费课程《初中物理力学专题突破》-04液体、气体、流体压强-液体的压力和压强
如图,将甲、乙两个两端开口的锥形管的下口用薄塑料片挡住轻轻按入装有水的容器,水不会进入锥形管内.如果在锥形管内轻轻放下1kg的铁块恰能使塑料片刚好脱落,现在若缓慢地向两容器倒入1kg的水时( )
A.甲管下的塑料片先脱落
B.乙管下的塑料片先脱落
C.甲和乙管下的塑料片同时脱落
D.甲乙管下的塑料片都不能脱落
【随堂练习】
1.如图所示,底面积和质量都相同的A、B两容器,装有质量相同的不同液体,放在水平桌面上,则液体对容器底部的压强pA________pB,容器对桌面的压强pA′________pB′。(选填“大于”“等于”“小于”)
2. 如图,两个完全相同的容器,分别装有相同质量的水和酒精,比较容器底部受到液体的压强的大小。
3. 如图所示,在玻璃槽中装有水,A为两端开口的玻璃管,B为塑料片(质量不计),把玻璃管逐渐压入水下的过程中,塑料片B受到水的压强逐渐_________(选填“增大”、“减小”或“不变”); B在水面下的深度为18cm时,向管内缓慢注入硫酸铜溶液(密度为1.2x103kg/m3),当塑料片恰好脱落时,管内液柱的高度为___________。(g=10N/kg)
4. 如图所示,在烧杯内装有某种液体,A为两端开口的玻璃管,D为轻质塑料片。D在液面下的深度为15cm,向A管内缓缓注入水。当塑料片恰好脱落时,A管内水柱高12cm,则烧杯内液体的密度是______g/cm3。
5. 上下开口的甲、乙、丙三筒,下端都用一重力不计的薄片,恰好盖住筒的下端,然后浸入水中,如图所示.三个薄片的面积都相同,薄片离水面的深度也都相同,现将100克水倒入甲筒中,恰能使薄片下落,那么将100克水倒入乙筒,薄片________和将100克水倒入丙筒中,薄片________(填“掉落”或“不掉落”)。
初二物理重难点压强知识点总结集锦 5
基础知识训练
1.如图9-18所示,容器中盛有一定量的水,容器底部 、 、 三点压强 、 、 的大小关系是____________. (题型二)
2.如图9-19所示,它说明了液体的压强____________________________.(题型一)
3.如图9-20所示,三个容器底面积相等,倒入质量相等的同种液体且都没有溢出,则三容器底面上所受压强最大的是___________容器,最小的是__________容器.(题型二)
4.如图9-21所示,A容器中盛有15 kg的水,B容器中盛有0.5 kg的水,但B容器中的水面较高,它们对容器底部的压强分别为pA、pB,则pA_______pB(“填“>”“=”或“<”).
(题型二)
5. 如图9-22所示,容器中盛有水,则A处的深度是__________cm,B处水产生的压强是__________Pa.(题型三)
6. 举世瞩目的三峡工程于2003年6月1日开闸蓄水,l0天内水位上升到海拔135 m.一块上表面面积为2 m2的水平石板被淹没在水面下50m深处,石板上表面受到水的压强为______Pa,石板上表面受到水的压力为____________N.(题型三)
7.如图9-23所示,三个相同的烧杯放在同—水平面上,分别盛有盐水、水和酒精.它们的液面高度相同,已知ρ盐水>ρ水>ρ酒精,其中烧杯底受到压强最大的是 ( ) (题型二)
A.盛盐水的烧杯 B.盛水的烧杯 C.盛酒精的烧杯 D.三者—样大
8.在容器的侧壁的不同高度开三个相同的小孔,向容器中灌水,水从各个小孔射出来.请你判断如图9-24所示的各图中,能正确反映喷射情况的是 ( ) (题型一)
9.如图9-25所示的容器中,水深度为7h,A点距水面深度为h,B点离容器底部的高度为h,则水在A点和B点产生的压强pA、pB之比为 ( ) (题型二)
A.1:1 B.1:7 C.1:6 D.6:7
10.某同学在做“研究液体内部压强规律”实验,图9-26是其中的一次实验和分析.根据图示情况可以知道,该同学这次操作的主要目的是 ( ) (题型一)
A.探究在同一深处液体向各个方向的压强大小关系
B.说明液体内部压强随深度的增大而增大
C.研究液体内部压强与其密度关系
D.验证液体内部压强公式p=ρgh.
综合提高训练
1.如图9-27所示,有三个完全相同的瓶子,里面分别装有质量相等的酱油、水和豆油,则它们对瓶底的压强_____________(填“相等”“不相等”)(题型二)
2.杯子中装有120g水,水深10cm,当杯子底面积为10cm2时,杯子底部受到压强为____Pa,杯子底部受到的压力为________N.(g取10N/kg) (题型三)
3.某容器内装有10cm高的某种液体,已知液体对容器底的压强为800Pa,则该液体的密度为___________kg/m3.若把容器里的液体倒去3/5高度,则剩余液体的密度为________kg/m3,剩余液体对容器底的压强为___________Pa.(题型三)
4.如图9-28所示,两个底面积相同、形状不同的容器A和B,所装液体的密度和深度都相同. xkb1.com
①比较它们所装液体的重力:GA________GB;
②比较它们底部所受液体的压强:pA________pB.
③比较它们底部所受液体的压力:FA_________FB. (题型二)
5.如图9-29所示,有一个底面积是200cm2,高10cm的柱形容器,顶部有一个面积是40 cm2的小孔,小孔上装有一根倾斜管子,从顶部小孔灌水至顶部以上h1=20cm处,则水对容器顶面的压强为____________Pa,压力为___________N.(题型三)
6.俄罗斯总统普京4月5日晚搭乘俄罗斯核潜艇“卡累利阿”号深潜至400m深的海底(ρ海水=1.03×103kg/m3),在波涛汹涌的北冰洋深处过了一夜,在此深处潜艇受到的压强是_________Pa.(题型三)
7.如图9-30所示,平底试管和砂子的总重为9.8×10-2N,试管底面积为2×10-4m2,则试管底面所受液体的压强是___________Pa,试管浸入水中的深度是__________cm.(题型三)
8.如图9-31所示,一个上下封闭的圆台形容器中盛有部分液体,现将它正放(图A)和倒放(图B),容器底部受到的压强pA和pB的关系是 ( ) (题型二)
A.pA>pB B.pA
C.pA=pB. D.无法确定
9.如图9-32所示,两个完全相同的量筒里分别盛有质量相等的水和酒精,M、N两点到量筒底部的距离相等,则这两点液体的压强pM和pN的关系是 ( ) (题型二)
A.pM>pN B.pM
10.如图9-33所示,两端开口的U形玻璃管内装有水,管的一端通过橡皮管和一个蒙有橡皮膜的金属盒相连,这个仪器叫压强计,当把(a)图中压强计的金属盒放入水中深度为 处后,压强计左、右两管中的水面 ( ) (题型一)
A. 左面下降,右面升高,两管中的水面高度差大于
B.左面下降,右面升高,两管中的水面高度差等于
C. 左面下降,右面升高,两管中的水面高度差小于
D.左面升高,右面下降,两管中的水面高度差等于
11.如图9-34所示,某同学做了一个喷泉,它将一个底部有小孔的竹管插入盛水的容器中,插入得越深,水从底部向上喷得越高,这是因为____________________________.(题型一)
12.下表是某同学在做“研究液体的压强”实验时得到的实验数据.
据表中的数据,比较序号为_____________的三组数据可得出结论:在同一深度,液体向各个方向的压强相等;比较序号为3、4、5的三组数据可得出结论:___________________
____________________________;比较序号为_________________的两组数据可得出结论:液体的压强还跟液体的密度有关.(题型一)
13.如图9-35所示,玻璃管下端扎有橡皮膜,管内装有一定量待测液体,这时橡皮膜向下凸出,请你自己再选用一些器材测出待测液体的密度.(注意:天平、砝码、量筒不能选用)(题型三)
14.一平底玻璃杯放在水平桌面上,内装150 的水,杯子与桌面的接触面积是10 ,如图9-36所示.
求:(1)水对杯底的压强;
(2)若桌面所受玻璃杯的压强是 ,求玻璃杯的 质量.(取 )(题型三)
15.如图9-37所示,容器重4.2N,放在水平桌面上,容器上部是边长5cm的立方体,下部是边长10cm的立方体,若向容器内注入1.1kg水.(取g=10N/kg)
求:(1)这个装着水的容器对桌面的压强多大?
(2)容器底部所受水的压强多大?
(3)容器底部所受水的压力多大? (题型三)
9.2参考答案
基础知识训练
1. > > 提示:关键是比较深度h的大小
2.随深度的增加而增大
3.丙 甲 4.< 5.0 2450 6.4.9×105 9.8×105
7.A 8.B 9.C 10.A
综合提高训练
1.相等
2.980 0.98 提示:水对杯子底部的压力不一定等于水的重力
3.800 800 480 4.< = =
5.1960 31.36 6.4037600
7.490 5
8.A 提示:由正放改为倒放后,液面高度将下降,即容器底部所在的液体深度变小,故压强变小
9.A 析:设M、N到量筒底的距离为h,M、N的深度(到自由液面的距离)分别为hM和hN,由题意可知水和酒精对量筒底部的压强相等,即有 因为ρ水>ρ酒精,所以 由此可得出: 即
10.B
11.液体越深,液体内部的压强越大
12.1、2、3 在同种液体中,压强随深度的增加而增大 5、6
13.实验步骤:
(1)取一只盛水烧杯 ;
(2)将扎有橡皮膜的玻璃管缓缓浸入水中,直至橡皮膜变平;
(3)用刻度尺测出橡皮膜在水面下的深度 ;
(4)用刻度尺测出橡皮膜在待测液面下的深度 .
计算方法: ,
14.解:(1)水对杯底的压强 Pa;
() ,
杯子的质量m杯=m–m水=270g —150g=120g
15.解:(1)容器和水的总重力G=G容+G水=4.2N+1.1kg×10N/kg=15.2N.
容器对桌面的压力F1=15.2N.
S1=10cm×10cm=100cm2=0.01m2.
容器对水平桌面的压强
(2)1.1kg水的体积
容器下部体积V1=10×10×10cm3=1000cm3
水面高出下部的高度 .
水深度H=4cm+10cm=0.14m.
水对容器底部的压强
(3)容器底部受到水的压力F2=p2•S1=1400Pa×0.01m2=14N.
