高一数学知识点有哪些大全整理
相关文章
总结是把一定阶段内的有关情况分析研究,做出有指导性结论的书面材料,通过它可以全面地、系统地了解以往的学习和工作情况,因此十分有必须要写一份总结哦。你想知道总结怎么写吗?下面是小编给大家带来的高一数学必考知识点总结,以供大家参考!
高一数学知识点有哪些大全整理 1
把一个合数用质因数相乘的形式表示出来,叫做分解质因数。 例如把28分解质因数 28=2×2×7
几个数公有的因数,叫做这几个数的公因数。其中最大的一个,叫做这几个数的最大公因数,例如12的约数有1、2、3、4、6、12;18的约数有1、2、3、6、9、18。其中,1、2、3、6是12和1 8的公因数,6是它们的最大公因数。 公约数只有1的两个数,叫做互质数,成互质关系的两个数,有下列几种情况:
1和任何自然数互质。 相邻的两个自然数互质。 两个不同的质数互质。
当合数不是质数的倍数时,这个合数和这个质数互质。 两个合数的公约数只有1时,这两个合数互质,如果几个数中任意两个都互质,就说这几个数两两互质。
如果较小数是较大数的因数,那么较小数就是这两个数的最大公因数。
如果两个数是互质数,它们的最大公因数就是1。 几个数公有的倍数,叫做这几个数的公倍数,其中最小的一个,叫做这几个数的最小公倍数,如2的倍数有2、4、6 、8、10、12、 ??
3的倍数有3、6、9、12、15、18 ?? 其中6、12、18??是2、3的公倍数,6是它们的最小公倍数。。
如果较大数是较小数的倍数,那么较大数就是这两个数的最小公倍数。
如果两个数是互质数,那么这两个数的积就是它们的最小公倍数。
几个数的公因数的个数是有限的,而几个数的公倍数的个数是无限的。
高一数学知识点有哪些大全整理 2
一、指数函数
(一)指数与指数幂的运算
1.根式的概念:一般地,如果,那么叫做的次方根(nthroot),其中>1,且∈_.
当是奇数时,正数的次方根是一个正数,负数的次方根是一个负数.此时,的次方根用符号表示.式子叫做根式(radical),这里叫做根指数(radicalexponent),叫做被开方数(radicand).
当是偶数时,正数的次方根有两个,这两个数互为相反数.此时,正数的正的次方根用符号表示,负的次方根用符号-表示.正的次方根与负的次方根可以合并成±(>0).由此可得:负数没有偶次方根;0的任何次方根都是0,记作。
注意:当是奇数时,当是偶数时,
2.分数指数幂
正数的分数指数幂的意义,规定:
0的正分数指数幂等于0,0的负分数指数幂没有意义
指出:规定了分数指数幂的意义后,指数的概念就从整数指数推广到了有理数指数,那么整数指数幂的运算性质也同样可以推广到有理数指数幂.
3.实数指数幂的运算性质
(二)指数函数及其性质
1、指数函数的概念:一般地,函数叫做指数函数(exponential),其中x是自变量,函数的定义域为R.
注意:指数函数的底数的取值范围,底数不能是负数、零和1.
2、指数函数的图象和性质
【函数的应用】
1、函数零点的概念:对于函数,把使成立的实数叫做函数的零点。
2、函数零点的意义:函数的零点就是方程实数根,亦即函数的图象与轴交点的横坐标。即:
方程有实数根函数的图象与轴有交点函数有零点.
3、函数零点的求法:
求函数的零点:
1(代数法)求方程的实数根;
2(几何法)对于不能用求根公式的方程,可以将它与函数的图象联系起来,并利用函数的性质找出零点.
4、二次函数的零点:
二次函数.
1)△>0,方程有两不等实根,二次函数的图象与轴有两个交点,二次函数有两个零点.
2)△=0,方程有两相等实根(二重根),二次函数的图象与轴有一个交点,二次函数有一个二重零点或二阶零点.
3)△<0,方程无实根,二次函数的图象与轴无交点,二次函数无零点.
高一数学知识点有哪些大全整理 3
第一章
〖1.1〗集合
【1.1.1】集合的含义与表示
(1)集合的概念
集合中的元素具有确定性、互异性和无序性.
(2)常用数集及其记法N表示自然数集,N_或N+表示正整数集,Z表示整数集,Q表示有理数集,R表示实数集.
(3)集合与元素间的关系
(4)集合的表示法
①自然语言法:用文字叙述的形式来描述集合.
②列举法:把集合中的元素一一列举出来,写在大括号内表示集合.
③描述法:{x|x具有的性质},其中x为集合的代表元素.
④图示法:用数轴或韦恩图来表示集合.
(5)集合的分类
①含有有限个元素的集合叫做有限集.②含有无限个元素的集合叫做无限集.③不含有任何元素的集合叫做空集.
【1.1.2】集合间的基本关系
(6)子集、真子集、集合相等


【1.1.3】集合的基本运算
(8)交集、并集、补集

【补充知识】含绝对值的不等式与一元二次不等式的解法
(1)含绝对值的不等式的解法

(2)一元二次不等式的解法

〖1.2〗函数及其表示
【1.2.1】函数的概念
(1)函数的概念
①设A、B是两个非空的数集,如果按照某种对应法则f,对于集合A中任何一个数x,在集合B中都有唯一确定的数f(x)和它对应,那么这样的对应(包括集合A,B以及A到B的对应法则f)叫做集合A到B的一个函数,记作f:A→B.
②函数的三要素:定义域、值域和对应法则.
③只有定义域相同,且对应法则也相同的两个函数才是同一函数.
(2)区间的概念及表示法

{{7}}$
(3)求函数的定义域时,一般遵循以下原则:
①f(x)是整式时,定义域是全体实数.
②f(x)是分式函数时,定义域是使分母不为零的一切实数.
③f(x)是偶次根式时,定义域是使被开方式为非负值时的实数的集合
④对数函数的真数大于零,当对数或指数函数的底数中含变量时,底数须大于零且不等于1.
⑥零(负)指数幂的底数不能为零.
⑦若f(x)是由有限个基本初等函数的四则运算而合成的函数时,则其定义域一般是各基本初等函数的定义域的交集.
⑧对于求复合函数定义域问题,一般步骤是:若已知f(x)的定义域为[a,b],其复合函数f[g(x)]的定义域应由不等式a≤g(x)≤b解出.
⑨对于含字母参数的函数,求其定义域,根据问题具体情况需对字母参数进行分类讨论.
⑩由实际问题确定的函数,其定义域除使函数有意义外,还要符合问题的实际意义.
(4)求函数的值域或最值
求函数最值的常用方法和求函数值域的方法基本上是相同的.事实上,如果在函数的值域中存在一个最小(大)数,这个数就是函数的最小(大)值.因此求函数的最值与值域,其实质是相同的,只是提问的角度不同.求函数值域与最值的常用方法:
①观察法:对于比较简单的函数,我们可以通过观察直接得到值域或最值.
②配方法:将函数解析式化成含有自变量的平方式与常数的和,然后根据变量的取值范围确定函数的值域或最值.
④不等式法:利用基本不等式确定函数的值域或最值.
⑤换元法:通过变量代换达到化繁为简、化难为易的目的,三角代换可将代数函数的最值问题转化为三角函数的最值问题.
⑥反函数法:利用函数和它的反函数的定义域与值域的互逆关系确定函数的值域或最值.

⑦数形结合法:利用函数图象或几何方法确定函数的值域或最值.
⑧函数的单调性法.
【1.2.2】函数的表示法
(5)函数的表示方法
表示函数的方法,常用的有解析法、列表法、图象法三种.
解析法:就是用数学表达式表示两个变量之间的对应关系.列表法:就是列出表格来表示两个变量之间的对应关系.图象法:就是用图象表示两个变量之间的对应关系.
(6)映射的概念

④不等式法:利用基本不等式确定函数的值域或最值.
⑤换元法:通过变量代换达到化繁为简、化难为易的目的,三角代换可将代数函数的最值问题转化为三角函数的最值问题.
⑥反函数法:利用函数和它的反函数的定义域与值域的互逆关系确定函数的值域或最值.
⑦数形结合法:利用函数图象或几何方法确定函数的值域或最值.
⑧函数的单调性法.
【1.2.2】函数的表示法
(5)函数的表示方法
表示函数的方法,常用的有解析法、列表法、图象法三种.
解析法:就是用数学表达式表示两个变量之间的对应关系.列表法:就是列出表格来表示两个变量之间的对应关系.图象法:就是用图象表示两个变量之间的对应关系.
(6)映射的概念
${{9}}$
〖1.3〗函数的基本性质
【1.3.1】单调性与最大(小)值
(1)函数的单调性
①定义及判定方法

②在公共定义域内,两个增函数的和是增函数,两个减函数的和是减函数,增函数减去一个减函数为增函数,减函数减去一个增函数为减函数.

{{13}}

【1.3.2】奇偶性
(4)函数的奇偶性
①定义及判定方法

②若函数f(x)为奇函数,且在x=0处有定义,则f(0)=0.
③奇函数在y轴两侧相对称的区间增减性相同,偶函数在y轴两侧相对称的区间增减性相反.
④在公共定义域内,两个偶函数(或奇函数)的和(或差)仍是偶函数(或奇函数),两个偶函数(或奇函数)的积(或商)是偶函数,一个偶函数与一个奇函数的积(或商)是奇函数.
〖补充知识〗函数的图象
(1)作图
利用描点法作图:
①确定函数的定义域;
②化解函数解析式;
③讨论函数的性质(奇偶性、单调性);
④画出函数的图象.
利用基本函数图象的变换作图:
要准确记忆一次函数、二次函数、反比例函数、指数函数、对数函数、幂函数、三角函数等各种基本初等函数的图象.
①平移变换
②伸缩变换

③对称变换

(2)识图
对于给定函数的图象,要能从图象的左右、上下分别范围、变化趋势、对称性等方面研究函数的定义域、值域、单调性、奇偶性,注意图象与函数解析式中参数的关系.
(3)用图
函数图象形象地显示了函数的性质,为研究数量关系问题提供了“形”的直观性,它是探求解题途径,获得问题结果的重要工具.要重视数形结合解题的思想方法.
第二章 基本初等函数(Ⅰ)
〖2.1〗指数函数
【2.1.1】指数与指数幂的运算
(1)根式的概念

{{19}}

{{21}}$
【2.1.2】指数函数及其性质
(4)指数函数

〖2.2〗对数函数
【2.2.1】对数与对数运算
(1)对数的定义

{{24}}

【2.2.2】对数函数及其性质
(5)对数函数

{{27}}

〖2.3〗幂函数
(1)幂函数的定义
一般地,函数y=xa叫做幂函数,其中x为自变量,a是常数.
(2)幂函数的图象
(3)幂函数的性质
①图象分布:幂函数图象分布在第一、二、三象限,第四象限无图象.幂函数是偶函数时,图象分布在第一、二象限(图象关于轴对称);是奇函数时,图象分布在第一、三象限(图象关于原点对称);是非奇非偶函数时,图象只分布在第一象
②过定点:所有的幂函数在(0,+∞)都有定义,并且图象都通过点(1,1)
③单调性:如果a>0,则幂函数的图象过原点,并且在[0, +∞)上为增函数.如果a<0,则幂函数的图象在[0, +∞)上为减函数,在第一象限内,图象无限接近x轴与y轴.

{{30}}$
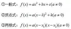
〖补充知识〗二次函数
(1)二次函数解析式的三种形式

(2)求二次函数解析式的方法
①已知三个点坐标时,宜用一般式.
②已知抛物线的顶点坐标或与对称轴有关或与最大(小)值有关时,常使用顶点式.
③若已知抛物线与X轴有两个交点,且横线坐标已知时,选用两根式求f(x)更方便.
(3)二次函数图象的性质

{{33}}

一元二次方程根的分布是二次函数中的重要内容,这部分知识在初中代数中虽有所涉及,但尚不够系统和完整,且解决的方法偏重于二次方程根的判别式和根与系数关系定理(韦达定理)的运用,下面结合二次函数图象的性质,系统地来分析一元二次方程实根的分布.

{{36}}

{{38}}

⑥k1<x1<k2≤p1<x2<p2 p="" 此结论可直接由⑤推出.

{{41}}
第三章 函数的应用
方程的根与函数的零点

高一数学知识点有哪些大全整理 4
集合的运算
运算类型交 集并 集补 集
定义域 R定义域 R
值域>0值域>0
在R上单调递增在R上单调递减
非奇非偶函数非奇非偶函数
函数图象都过定点(0,1)函数图象都过定点(0,1)
注意:利用函数的单调性,结合图象还可以看出:
(1)在[a,b]上, 值域是 或 ;
(2)若 ,则 ; 取遍所有正数当且仅当 ;
(3)对于指数函数 ,总有 ;
二、对数函数
(一)对数
1.对数的概念:
一般地,如果 ,那么数 叫做以 为底 的对数,记作: ( — 底数, — 真数, — 对数式)
说明:○1 注意底数的限制 ,且 ;
○2 ;
○3 注意对数的书写格式.
两个重要对数:
○1 常用对数:以10为底的对数 ;
○2 自然对数:以无理数 为底的对数的对数 .
指数式与对数式的互化
幂值 真数
= N = b
底数
指数 对数
(二)对数的运算性质
如果 ,且 , , ,那么:
○1 + ;
○2 - ;
○3 .
注意:换底公式: ( ,且 ; ,且 ; ).
利用换底公式推导下面的结论:(1) ;(2) .
(3)、重要的公式 ①、负数与零没有对数; ②、 , ③、对数恒等式
(二)对数函数
1、对数函数的概念:函数 ,且 叫做对数函数,其中 是自变量,函数的定义域是(0,+∞).
注意:○1 对数函数的定义与指数函数类似,都是形式定义,注意辨别。如: , 都不是对数函数,而只能称其为对数型函数.
○2 对数函数对底数的限制: ,且 .
2、对数函数的性质:
a>10
定义域x>0定义域x>0
值域为R值域为R
在R上递增在R上递减
函数图象都过定点(1,0)函数图象都过定点(1,0)
(三)幂函数
1、幂函数定义:一般地,形如 的函数称为幂函数,其中 为常数.
2、幂函数性质归纳.
(1)所有的幂函数在(0,+∞)都有定义并且图象都过点(1,1);
(2) 时,幂函数的图象通过原点,并且在区间 上是增函数.特别地,当 时,幂函数的图象下凸;当 时,幂函数的图象上凸;
(3) 时,幂函数的图象在区间 上是减函数.在第一象限内,当 从右边趋向原点时,图象在 轴右方无限地逼近 轴正半轴,当 趋于 时,图象在 轴上方无限地逼近 轴正半轴.
第四章 函数的应用
一、方程的根与函数的零点
1、函数零点的概念:对于函数 ,把使 成立的实数 叫做函数 的零点。
2、函数零点的意义:函数 的零点就是方程 实数根,亦即函数 的图象与 轴交点的横坐标。
即:方程 有实数根 函数 的图象与 轴有交点 函数 有零点.
3、函数零点的求法:
○1 (代数法)求方程 的实数根;
○2 (几何法)对于不能用求根公式的方程,可以将它与函数 的图象联系起来,并利用函数的性质找出零点.
4、二次函数的零点:
二次函数 .
(1)△>0,方程 有两不等实根,二次函数的图象与 轴有两个交点,二次函数有两个零点.
(2)△=0,方程 有两相等实根,二次函数的图象与 轴有一个交点,二次函数有一个二重零点或二阶零点.
(3)△<0,方程 无实根,二次函数的图象与 轴无交点,二次函数无零点.
5.函数的模型
高一数学知识点有哪些大全整理 5
注意:有两种可能
(1)A是B的一部分,;
(2)A与B是同一集合。
反之:集合A不包含于集合B,或集合B不包含集合A,记作AB或BA
2.“相等”关系:A=B(5≥5,且5≤5,则5=5)实
例:设A={x|x2-1=0}B={-1,1}“元素相同则两集合相等”
即:
①任何一个集合是它本身的子集。AíA
②真子集:如果AíB,且A1B那就说集合A是集合B的真子集,记作AB(或BA)
③如果AíB,BíC,那么AíC
④如果AíB同时BíA那么A=B
