高一必修一物理质点知识点范文精选
相关文章
一个物体在另一个物体表面上相当于另一个物体滑动的时候,要受到另一个物体阻碍它相对滑动的力,这种力叫做滑动摩擦力。接下来小编为大家整理了高一物理学习的内容,一起来看看吧!
高一必修一物理质点知识点范文精选 1
牛顿运动定律
1.牛顿第二定律:F合=ma
注意:(1)同一性:公式中的三个量必须是同一个物体的.
(2)同时性:F合与a必须是同一时刻的.
(3)瞬时性:上一公式反映的是F合与a的瞬时关系.
(4)局限性:只成立于惯性系中,受制于宏观低速.
2.整体法与隔离法:
整体法不须考虑整体(系统)内的内力作用,用此法解题较为简单,用于加速度和外力的计算.隔离法要考虑内力作用,一般比较繁琐,但在求内力时必须用此法,在选哪一个物体进行隔离时有讲究,应选取受力较少的进行隔离研究.
3.超重与失重:
当物体在竖直方向存在加速度时,便会产生超重与失重现象.超重与失重的本质是重力的实际大小与表现出的大小不相符所致,并不是实际重力发生了什么变化,只是表现出的重力发生了变化.
高一必修一物理质点知识点范文精选 2
(1)滑动摩擦力:一个物体在另一个物体表面上相当于另一个物体滑动的时候,要受到另一个物体阻碍它相对滑动的力,这种力叫做滑动摩擦力。
说明:①摩擦力的产生是由于物体表面不光滑造成的。
②摩擦力具有相互性。
ⅰ滑动摩擦力的产生条件:A.两个物体相互接触;B.两物体发生形变;C.两物体发生了相对滑动;D.接触面不光滑。
ⅱ滑动摩擦力的方向:总跟接触面相切,并跟物体的相对运动方向相反。
说明:①与相对运动方向相反不能等同于与运动方向相反
②滑动摩擦力可能起动力作用,也可能起阻力作用。
ⅲ滑动摩擦力的大小:F=FN
说明:①FN两物体表面间的压力,性质上属于弹力,不是重力。应具体分析。
②与接触面的材料、接触面的粗糙程度有关,无单位。
③滑动摩擦力大小,与相对运动的速度大小无关。
ⅳ效果:总是阻碍物体间的相对运动,但并不总是阻碍物体的运动。
ⅴ滚动摩擦:一个物体在另一个物体上滚动时产生的摩擦,滚动摩擦比滑动摩擦要小得多。
(2)静摩擦力:两相对静止的相接触的物体间,由于存在相对运动的趋势而产生的摩擦力。
说明:静摩擦力的作用具有相互性。
ⅰ静摩擦力的产生条件:A.两物体相接触;B.相接触面不光滑;C.两物体有形变;D.两物体有相对运动趋势。
ⅱ静摩擦力的方向:总跟接触面相切,并总跟物体的相对运动趋势相反。
说明:①运动的物体可以受到静摩擦力的作用。
②静摩擦力的方向可以与运动方向相同,可以相反,还可以成任一夹角。
③静摩擦力可以是阻力也可以是动力。
ⅲ静摩擦力的大小:两物体间的静摩擦力的取值范围0
说明:①静摩擦力是被动力,其作用是与使物体产生运动趋势的力相平衡,在取值范围内是根据物体的需要取值,所以与正压力无关。
②最大静摩擦力大小决定于正压力与最大静摩擦因数(选学)Fm=sFN。
ⅳ效果:总是阻碍物体间的相对运动的趋势。
对物体进行受力分析是解决力学问题的基础,是研究力学的重要方法,受力分析的程序是:
1.根据题意选取适当的研究对象,选取研究对象的原则是要使对物体的研究处理尽量简便,研究对象可以是单个物体,也可以是几个物体组成的系统。
2.把研究对象从周围的环境中隔离出来,按照先场力,再接触力的顺序对物体进行受力分析,并画出物体的受力示意图,这种方法常称为隔离法。
3.对物体受力分析时,应注意一下几点:
(1)不要把研究对象所受的力与它对其它物体的作用力相混淆。
(2)对于作用在物体上的每一个力都必须明确它的来源,不能无中生有。
(3)分析的是物体受哪些性质力,不要把效果力与性质力重复分析。
力分解问题的关键是根据力的作用效果画出力的平行四边形,接着就转化为一个根据已知边角关系求解的几何问题
高一必修一物理质点知识点范文精选 3
1高一物理中运动的描述相关知识点一、时刻与时间间隔的关系
时间间隔能展示运动的一个过程,时刻只能显示运动的一个瞬间。对一些关于时间间隔和时刻的表述,能够正确理解。例如:第3s末、3s时、第4s初……均为时刻;3s内、第3s、第2s至第3s内……均为时间间隔。区别:时刻在时间轴上表示一点,时间间隔在时间轴上表示一段。
二、路程与位移的关系
位移表示位置变化,用由初位置到末位置的有向线段表示,是矢量。路程是运动轨迹的长度,是标量。只有当物体做单向直线运动时,位移的大小等于路程。一般情况下,路程≥位移的大小。
三、速度与速率的关系

四、速度、加速度与速度变化量的关系

五、运动图像的含义和应用
由于图象能直观地表示出物理过程和各物理量之间的关系,所以在解题的过程中被广泛应用。在运动学中,经常用到的有x-t图象和v—t图象。
1.理解图象的含义:(1)x-t图象是描述位移随时间的变化规律。(2)v—t图象是描述速度随时间的变化规律。
2.了解图象斜率的含义:(1)x-t图象中,图线的斜率表示速度。(2)v—t图象中,图线的斜率表示加速度。
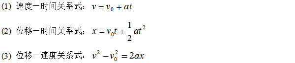
2高一必修一匀变速直线运动的研究一、匀变速直线运动的基本公式和推理
1.基本公式

三个公式中的物理量只要知道任意三个,就可求出其余两个。利用公式解题时注意:x、v、a为矢量及正、负号所代表的是方向的不同。解题时要有正方向的规定。
2.常用推论

二、运动图像的理解及应用
1.研究运动图象:
(1)从图象识别物体的运动性质。
(2)能认识图象的截距(即图象与纵轴或横轴的交点坐标)的意义。
(3)能认识图象的斜率(即图象与横轴夹角的正切值)的意义。
(4)能认识图象与坐标轴所围面积的物理意义。
(5)能说明图象上任一点的物理意义。
2.x-t图象和v—t图象的比较:如图所示是形状一样的图线在x-t图象和v—t图象中所代表的不同含义。

三、追及和相遇问题
1.追及、相遇的特征:
追及的主要条件是:两个物体在追赶过程中处在同一位置。两物体恰能相遇的临界条件是两物体处在同一位置时,两物体的速度恰好相同。
2.解追及、相遇问题的思路:
(1)根据对两物体的运动过程分析,画出物体运动示意图。
(2)根据两物体的运动性质,分别列出两个物体的位移方程,注意要将两物体的运动时间的关系反映在方程中。
(3)由运动示意图找出两物体位移间的关联方程。
(4)联立方程求解。
3.分析追及、相遇问题时应注意的问题:
(1)抓住一个条件:是两物体的速度满足的临界条件。如两物体距离最大、最小,恰好追上或恰好追不上等;两个关系:是时间关系和位移关系。
(2)若被追赶的物体做匀减速运动,注意在追上前,该物体是否已经停止运动。
4.解决追及、相遇问题的方法:
(1)数学方法:列出方程,利用二次函数求极值的方法求解。
(2)物理方法:即通过对物理情景和物理过程的分析,找到临界状态和临界条件,然后列出方程求解。
四、纸带问题
1.判断物体的运动性质:
(1)根据匀速直线运动特点x=vt,若纸带上各相邻的点的间隔相等,则可判断物体做匀速直线运动。
(2)由匀变速直线运动的推论△x=aT?,若所打的纸带上在任意两个相邻且相等的时间内物体的位移之差相等,则说明物体做匀变速直线运动。
2.加速度
(1)逐差法:a=[(x6+x5+x4)-(x3+x2+x1)]/9T?
(2)v—t图象法:利用匀变速直线运动的一段时间内的平均速度等于中间时刻的瞬时速度的推论,求出各点的瞬时速度,建立直角坐标系(v—t图象),然后进行描点连线,求出图线的斜率k=a。
3高一物理中的相互作用知识点总结一、弹力问题
1、弹力的产生:
条件:(1)物体间是否直接接触。(2)接触处是否有相互挤压或拉伸。
2.弹力方向的判断:
弹力的方向总是与物体形变方向相反,指向物体恢复原状的方向。弹力的作用线总是通过两物体的接触点并沿其接触点公共切面的垂直方向。
(1)压力的方向总是垂直于支持面指向被压的物体(受力物体)。
(2)支持力的方向总是垂直于支持面指向被支持的物体(受力物体)。
(3)绳的拉力是绳对所拉物体的弹力,方向总是沿绳指向绳收缩的方向(沿绳背离受力物体)。
补充:物体间点面接触时其弹力方向过点垂直于面,点线接触时其弹力方向过点垂直于线,两物体球面接触时其弹力的方向沿两球心的连线指向受力物体。
3.弹力的大小:
(1)弹簧的弹力满足胡克定律:F=kx。其中k代表弹簧的劲度系数,仅与弹簧的材料有关,x代表形变量。
(2)弹力的大小与弹性形变的大小有关。在弹性限度内,弹性形变越大,弹力越大。
二、关于摩擦力的问题
1.对摩擦力认识的四个“不一定”:
(1)摩擦力不一定是阻力。
(2)静摩擦力不一定比滑动摩擦力小。
(3)静摩擦力的方向不一定与运动方向共线,但一定沿接触面的切线方向。
(4)摩擦力不一定越小越好,因为摩擦力既可用作阻力,也可以作动力。
2.静摩擦力用二力平衡来求解,滑动摩擦力用公式F=μFn来求解。
3.静摩擦力存在及其方向的判断:
存在判断:假设接触面光滑,看物体是否发生相当运动,若发生相对运动,则说明物体间有相对运动趋势,物体间存在静摩擦力;若不发生相对运动,则不存在静摩擦力。方向判断:静摩擦力的方向与相对运动趋势的方向相反;滑动摩擦力的方向与相对运动的方向相反。
三、物体受力分析
1.物体受力分析的方法:

2.受力分析的顺序:先重力,再接触力,最后分析其他外力。
3.受力分析时应注意的问题:
(1)分析物体受力时,只分析周围物体对研究对象所施加的力。
(2)受力分析时,不要多力或漏力,注意确定每个力的实力物体和受力物体,在力的合成和分解中,不要把实际不存在的合力或分力当做是物体受到的力。
(3)如果一个力的方向难以确定,可用假设法分析。
(4)物体的受力情况会随运动状态的改变而改变,必要时根据学过的知识通过计算确定。
(5)受力分析外部作用看整体,互相作用要隔离。
四、物理正交分解法在力的合成与分解中的应用
1.正交分解时建立坐标轴的原则:
(1)以少分解力和容易分解力为原则,一般情况下应使尽可能多的力分布在坐标轴上。
(2)一般使所要求的力落在坐标轴上。
4必修一牛顿运动规律一、对牛顿运动定律的理解
1.对牛顿第一定律的理解:
(1)揭示了物体不受外力作用时的运动规律。
(2)牛顿第一定律是惯性定律,它指出一切物体都有惯性,惯性只与质量有关。
(3)肯定了力和运动的关系:力是改变物体运动状态的原因,不是维持物体运动的原因。
(4)牛顿第一定律是用理想化的实验总结出来的一条独立的规律,并非牛顿第二定律的特例。
(5)当物体所受合力为零时,从运动效果上说,相当于物体不受力,此时可以应用牛顿第一定律。
2.对牛顿第二定律的理解:
(1)揭示了a与F、m的定量关系,特别是a与F的几种特殊的对应关系:同时性、同向性、同体性、相对性、独立性。
(2)牛顿第二定律进一步揭示了力与运动的关系,一个物体的运动情况决定于物体的受力情况和初始状态。
(3)加速度是联系受力情况和运动情况的桥梁,无论是由受力情况确定运动情况,还是由运动情况确定受力情况,都需求出加速度。
3.对牛顿第三定律的理解:
(1)力总是成对出现于同一对物体之间,物体间的这对力一个是作用力,另一个是反作用力。
(2)指出了物体间的相互作用的特点:“四同”指大小相等,性质相等,作用在同一直线上,同时出现、消失、存在;“三不同”指方向不同,施力物体和受力物体不同,效果不同。
二、应用牛顿定律时常用的技巧方法
1.理想实验法。2.控制变量法。3.整体与隔离法。4.图解法。5.正交分解法。6.关于临界问题处理的基本方法是:根据条件变化或过程的发展,分析引起的受力情况的变化和状态的变化,找到临界点或临界条件。
小编推荐:高中物理选择题解题技巧
三、物理应用牛顿运动定律解决的典型问题示例
1.力、加速度、速度三者的关系知识点:
(1)物体所受合力的方向决定了其加速度的方向,合力与加速度的关系F=ma,合力只要不为零,无论速度是多大,加速度都不为零。
(2)合力与速度无必然联系,只有速度变化才与合力有必然联系。
(3)速度大小如何变化,取决于速度方向与所受合力方向之间的关系,当二者夹角为锐角或方向相同时,速度增加,否则速度减小。
2.关于轻绳、轻杆、轻弹簧问题的相关知识点:
(1)轻绳:①拉力的方向一定沿绳指向绳收缩的方向。②同一根绳上各处的拉力大小都相等。③认为受力形变极微,看做不可伸长。④弹力可做瞬时变化。
(2)轻杆:①作用力方向不一定沿杆的方向。②各处作用力的大小相等。③轻杆不能伸长或压缩。④轻杆受到的弹力方式有:拉力、压力。⑤弹力变化所需时间极短,可忽略不计。
(3)轻弹簧:①各处的弹力大小相等,方向与弹簧形变的方向相反。②弹力的大小遵循F=kx的关系。③弹簧的弹力不能发生突变。
3.物理关于超重和失重的问题相关知识点:
(1)物体超重或失重是物体对支持面的压力或对悬挂物体的拉力大于或小于物体的实际重力。
(2)物体超重或失重与速度方向和大小无关。根据加速度的方向判断超重或失重:加速度方向向上,则超重;加速度方向向下,则失重。
(3)物体出于完全失重状态时,物体与重力有关的现象全部消失:①与重力有关的一些仪器如天平、台秤等不能使用。②竖直上抛的物体再也回不到地面。③杯口向下时,杯中的水也不流出。
高一必修一物理质点知识点范文精选 4
1.停车距离=反应距离(车速x反应时间)+刹车距离(匀减速)
2.安全距离≥停车距离
3.刹车距离的大小取决于车的初速度和路面的粗糙程度
4.追及/相遇问题:抓住两物体速度相等时满足的临界条件,时间及位移关系,临界状态(匀减速至静止)。可用图象法解题。
高一必修一物理质点知识点范文精选 5
一、共点力的平衡
1、共点力
力的作用点在物体上的同一点或力的延长线交于一点的几个力叫做共点力。
能简化成质点的物体受到的力可以视为共点力。
2、平衡状态
物体处于静止或匀速直线运动状态称为物体处于平衡状态。
平衡状态的实质是加速度为零的状态。
3、共点力作用下物体的平衡条件
物体所受合外力为零,即ΣF=0。
若采用正交分解法求解平衡问题,则平衡条件应为。
二、共点力平衡条件的推论
1、二力平衡:
如果物体在两个共点力的作用下处于平衡状态,这两个力必定大小相等,方向相反,为一对平衡力。
若物体所受的力在同一直线上,则在一个方向上各力的大小之和,与另一个方向各力大小之和相等。
2、三力平衡:
三个不平行力的平衡问题,是静力学中最基本的问题之一,因为三个以上的平面汇交力,都可以通过等效方法,转化为三力平衡问题。为此,必须首先掌握三力平衡的下述基本特征:
(1)物体受三个共点力作用而平衡,任意两个力的合力跟第三个力等大反向(等值法)。
(2)物体受三个共点力作用而平衡,将某一个力分解到另外两个力的反方向上,得到的两个分力必定跟另外两个力等大反向(分解法)。
(3)物体受三个共点力作用而平衡,若三个力不平行,则三个力必共点,此即三力汇交原理(汇交共面性)。
(4)物体受三个共点力作用而平衡,三个力的矢量图必组成一个封闭的矢量三角形。
3、多力平衡:
如果物体受多个力作用处于平衡状态,其中任何一个力与其余力的合力大小相等,方向相反。
点拨:在进行一些平衡类问题的定性分析时,采用共点力平衡的相关推论,可以使问题简化。
